党务工作
信息工程学院2024年下半年推荐入党积极分子名单公示
来源:信息工程学院
编审:秦昕
审核:郭满
日期: 2024-10-11 08:10:23
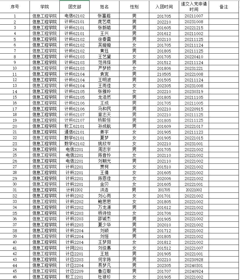
根据校团委《关于开展2024年下半年推优入党工作的通知》文件精神,信息工程学院团总支精心组织,各班级团支部民主评议、表决、推荐,分院团总支考察、审核,评选出优秀团员推荐入党积极分子名单123人,现予以公示:



公示期为2024年10月11日至2024年10月13日,共计3天。
如在公示期间,对公示对象存在疑问或异议,欢迎广大师生如实反映问题。反映的情况必须要有事实依据。
公示期间电话:0716-8066359(信息工程学院学生工作办公室)
电子邮箱:1041587572@qq.com
jtdcwyh2023@163.com
中共WilliamHill中文官方网站信息工程学院总支部委员会
2024年10月11日
